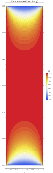
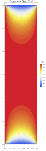
Temperature profiles inside of 300-mm length and 70-mm diameter cylindrical heater filled with air considering radiation and convection of heat. Heating element is in 1150 (both sidewall) and top and bottom are in open state.
FEM with Mathematica enable easily the simulation of temperature profile solving PDE (partial differential equation).

'Mathematica' 카테고리의 다른 글
| LaTeX typesetting in Mathematica (0) | 2025.07.03 |
|---|---|
| Mathematica를 이용한 Fourier 급수 구하기 (0) | 2023.10.26 |
| 재귀함수(recursive function)을 이용한 피노나치 수열 (1) | 2023.10.25 |
| List Manupulation (0) | 2016.01.09 |
| Transpose 기능 이용하기 (0) | 2015.11.17 |