Fourier 급수를 간단히 설명하면 "모든 주기적인 (나중에 밝혀지지만 주기함수가 아니어도 됨) 함수는 sine 과 cosine의 합으로 구할 수 있다"는 것이다. 일반적으로 Fourier 급수는 상수, sine 함수, cosine 함수의 합으로 주어지며, 각각의 sine과 cosine 항에는 각기 다른 계수 (coefficient)가 붙는다.
그 예로서, 다음의 톱니함수의 푸리에 급수를 구해보자.

방법 1)
이 함수는 매스매티카에서 SawtoothWave[t/2] + 0.2 로 함수를 표현할 수 있다. 5번째 항까지의 푸리에 급수는 다음과 같이 구할 수 있다. 이 함수를 그래프로 그리려면 다음과 같이 실행하면 된다.
Plot[SawtoothWave[t/2]+0.2,{t,-6,6}]
그리고, 푸리에 급수는 매스매티카의 내장 명령인 FourierSeries 을 이용해 다음과 같이 구할 수 있다. 아래의 예는 5번째항 까지를 구하라는 명령어이다.
FourierSeries[SawtoothWave[t/2] + 0.2, t, 5, FourierParameters -> {0, Pi}]
결과는 다음과 같다.

이 결과를 그래프로 그려보면, 다음과 같다.

두 함수를 함께 그려보면, 다음과 같은 결과를 얻을 수 있다.

푸리에 급수의 5번째 항으로 근사한 함수가 원래의 톱니파와 잘 일치함을 알 수 있다. 만약 더 많은 급수항을 추가하면, 원래의 함수에 근접하게 된다. 아래의 그래프는 20번째항과 100번째 항까지 추가한 함수의 그래프이다.


항의 갯수가 증가하면, 처음의 톱니파 형태로 근접함을 알 수 있다.
방법 2)
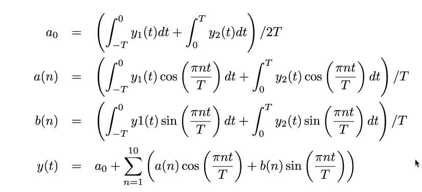
그림의 톱니파는 -2에서 2 구간에서 주기함수로 정의되었므로, 다음과 같이 함수를 표현할 수 있다.

푸리에 급수의 상수항과 사인항 , 코사인항은 다음과 같이 주어진다.

따라서, 이를 매스매티카로 프로그래밍하면 다음과 같다. T=2 이므로(주기가 바뀔수 있으므로 T=2로 초기로 정해도 된다.
y1[t_]:=1/2 t + 1.2 ;
y2[t_]:=1/2t + 0.2;
T=2;
a0= (Intergrate[y1[t],{t,-2,0}] + Integrate[y2[t],{t,0,2}] )/ (2*2)
a[n_]:=(Intergrate[y1[t]*Sin[(n*Pi*t)/T],{t,-T,0}] + Integrate[y2[t]*Sin[(n*Pi*t)/T],{t,0,T})/T;
b[n_]:=(Intergrate[y1[t]*Cos[(n*Pi*t)/T],{t,-T,0}] + Integrate[y2[t]*Cos[(n*Pi*t)/T],{t,0,T})/T;
y[t_]:= a0 + Sum[a[n] * Cos[(n*Pi*t)/T] + b[n]*Sin[(n*Pi*t)/T], {n,0,20} ] (*sum over 20th terms*)
Simplify[y[t], T > 0] (* to simply y[t] due to y[t] is complicated. *)
T = 2;
Plot[sol, {t, -6, 6}, PlotStyle -> Directive[Red, Dashed] ]
이 코드를 실행하면 다음과 같은 결과를 얻을 수 있다. 처음의 톱니파와 비교하면 매우 근사함을 알 수 있으며, 방법 1로 구한것과 결과가 같음을 알 수 있다.


'Mathematica' 카테고리의 다른 글
| LaTeX typesetting in Mathematica (0) | 2025.07.03 |
|---|---|
| Temperature inside of cylindrical heater (0) | 2025.05.12 |
| 재귀함수(recursive function)을 이용한 피노나치 수열 (1) | 2023.10.25 |
| List Manupulation (0) | 2016.01.09 |
| Transpose 기능 이용하기 (0) | 2015.11.17 |